过渡效应是指出厂水质发生变化时,管网微生态失稳导致向水中释放颗粒物与微生物引起用户端水质恶化的现象。由于污染加剧、标准趋严、净水技术持续发展等多重因素,水厂工艺升级是大势所趋,出厂水质提升也使得老旧管网输送新质饮用水正成为普遍现象。然而,过渡效应仍属研究空白,以往的工艺升级和水质切换并未妥善考虑过渡效应及其潜在的水质风险。
团队跟踪研究了启动RO工艺前后管网水质的时空变化,发现因为出厂水质变化引起供水管道微生态失稳,过渡效应在新质水进入管网的第一时间即刻发生,向水中释放相当数量的颗粒物和微生物(图1)。研究首次发现,过渡效应在1个月后开始消退,客户端水质提升与改善的效果从2个月开始逐渐展现,这意味着工艺升级后的第一个月为过渡效应窗口期,应作为水质监测与风险管控的重点时期。此外,研究发现过渡期T0时刻,各项指标日变化峰值提高了3倍,因此作者提出用水高峰期的水力扰动可放大过渡期的水质恶化(图1, 2, 3),过渡窗口期(第1个月)的用水高峰应作为水质风险管控的重点时刻。

图1水厂和管网内颗粒负荷(?P/V)以及颗粒物附着ATP(P-ATP)的长期(a, b)和日变化(c, d)趋势。图中:TB – 启动RO工艺前;T0 – 启动RO工艺;T1M – 启动RO工艺1个月;T2M – 启动RO工艺2个月;T1Y – 启动RO工艺1年; T2Y – 启动RO工艺2年。
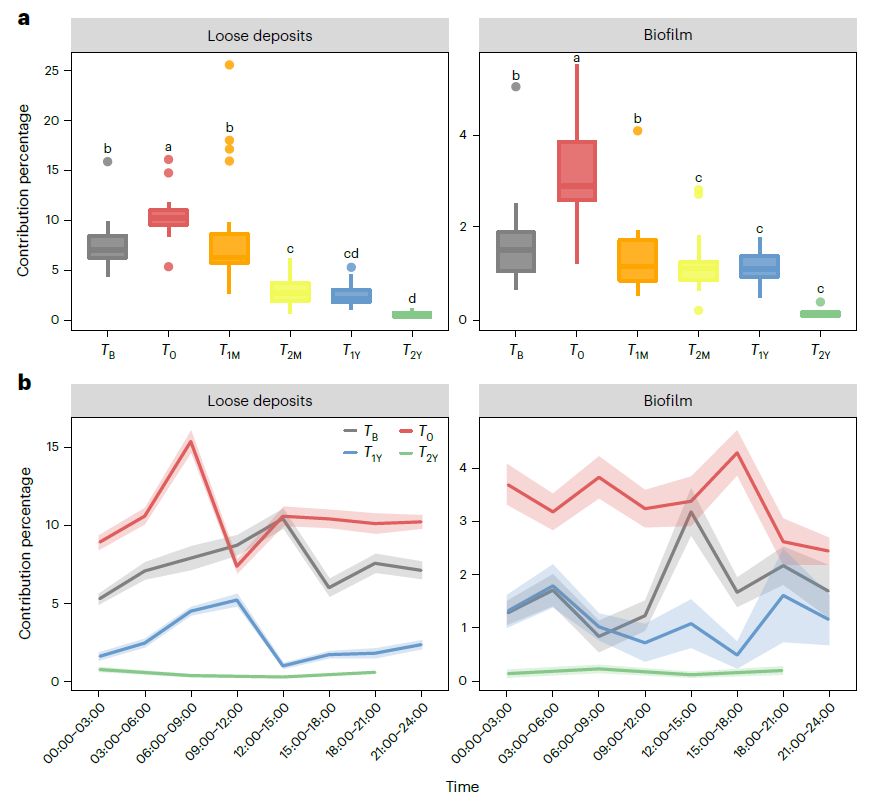
通过SourceTracker2和NCM两种方法,研究发现工艺切换初期管网沉积物与生物膜中微生物均有显著释放(图2),T0与T1M期间成倍增长的释放量与颗粒负荷的增长相呼应,并且伴随着释放微生物物种的显著增加。截至工艺升级2年时,沉积物与生物膜中微生物的释放量急剧降低,因此团队提出通过进水厂工艺升级,可有效调控管网与饮用水之间的微生物交互。SourceTracker2的分析结果显示,在整个两年研究周期中,沉积物中微生物释放的贡献量均高于生物膜,而NCM结果显示沉积物释放的微生物物种数也显著高于生物膜。这一发现有别于管网水质问题源于生物膜的传统观点,但符合团队前期关于沉积物是导致水质恶化热区的发现。此外,研究观察到沉积物与生物膜贡献量差异最大的时间点是T0与T1M,意味着沉积物比生物膜对水质变化更敏感,因此在应对过渡效应时应格外重视来自管网沉积物的贡献与风险。
图2 沉积物和生物膜贡献值的长期(a)和日变化(b)趋势。
针对管道沉积物在过渡期对水质恶化的显著贡献,团队提出用新质水预冲洗管网的策略管控水质风险,并建议围绕冲洗过程的接触时间、冲洗时长、冲洗流速展开进一步研究,实现水量、能源与水质的最优化。
相关研究成果发表于Nature Water 和Water Research。该研究得到国家自然科学基金优青项目、国家重点研发计划项目等项目资助。相关论文及系列成果链接:
论文链接1: https://www.nature.com/articles/s44221-023-00149-7
论文链接2: https://doi.org/10.1016/j.watres.2023.120149
论文链接3: https://doi.org/10.1016/j.watres.2023.120143
论文链接4: https://doi.org/10.1016/j.watres.2022.118589
论文链接5: https://doi.org/10.1016/j.watres.2017.03.031